MadSci Network: Genetics
Query:

Re: Did my son have a chance of normal colour vision?

Date: Sat Jul 8 13:55:15 2000
Posted By: Raymond Cheong, Undergraduate, Chemical Engineering, University of Maryland
Area of science: Genetics
ID: 962575850.Ge
Message:

Dear Annette,

The short answer to your question is this. Unfortunately, all children of parents who are both color-blind will be color-blind. The long explanation follows:

Red-green color blindness, the most common form, is a genetically inheritable condition. The pattern of inheritance is known as X-linked recessive. That is, the gene that controls color-blindness is on the X chromosome and color-blindness will result if and only if all copies of the gene are defective.

Women have two X chromosomes: XX. This means that color-blind women have two defective copies of the gene, one on each chromosome. Women who are carriers have one defective copy and one normal copy, resulting in normal vision, but with the possibility of passing on the defective copy. On the other hand, men have one X and one Y chromosome: XY. There is not a corresponding gene on the Y chromosome, so a defective gene on the X chromosome will result in color-blindness for men.

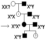
Based on the information in the question, the following pedigree can be constructed:

The pedigree is read as follows:

The five color-blind individuals in your family are indicated by solid circles/squares. Since you did not state that your mother or maternal grandmother was color-blind, I assume they both had normal vision.

As stated above, the affected individuals must be X*X* or X*Y. In order for you to be color-blind, you must have inherited an X* from each of your parents. This means that your mother was a carrier, X*X. This makes sense, because your grandfather was color-blind and he must have passed the gene (his X*) to your mother. This is typical of X-linked recessive traits; daughters of affected males are always carriers. Your maternal grandmother could have been normal (XX) or a carrier (X*X), but more information is needed to make a determination.

Finally, we can look at the possibilities for your children. Since all of the X chromosomes between you and your husband are affected (X*), all of the X chromosomes of your children will carry a defective copy. This means sons will always be X*Y and daughters will be X*X*. So, unfortunately, all of your children will be color-blind.

I hope this long explanation helps and hopefully should enable you to further analyze your geneology.

Your MAD Scientist,
Raymond Cheong


Current Queue | Current Queue for Genetics | Genetics archives

Try the links in the MadSci Library for more information on Genetics.



MadSci Home | Information | Search | Random Knowledge Generator | MadSci Archives | Mad Library | MAD Labs | MAD FAQs | Ask a ? | Join Us! | Help Support MadSci


MadSci Network, webadmin@www.madsci.org
© 1995-2000. All rights reserved.